温馨提示:市场有风险,决策需谨慎,本信息仅供参考。
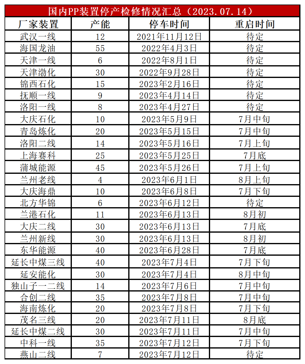
京博石化、徐州海天等前期检修装置重启,PP开工率反弹至87%附近,较上周下降1%,交上月同期提高2%,较去年同期高1%。整体来讲PP集中检修期已经结束,且9月份之前有3-4套新装置有投产计划,供应压力逐渐增加。
长按识别二维码
看更多行情资讯
温馨提示:市场有风险,决策需谨慎,本信息仅供参考。
京博石化、徐州海天等前期检修装置重启,PP开工率反弹至87%附近,较上周下降1%,交上月同期提高2%,较去年同期高1%。整体来讲PP集中检修期已经结束,且9月份之前有3-4套新装置有投产计划,供应压力逐渐增加。
长按识别二维码
看更多行情资讯
【版权与免责声明】
1)凡本网注明“来源:快塑网”的所有文字、图片、音视和视频文件,版权均为快塑网独家所有。如需转载请联系专属客服。任何媒体、网站或个人转载使用时须注明来源“快塑网”,违反者本网将追究其法律责任。
2)快塑网所收集的部分公开资料来源于互联网,转载的目的在于传递更多信息及用于网络分享,并不代表本站赞同其观点和对其真实性负责,也不构成任何其他建议。
3)快塑网所提供的信息,只供参考之用。本网站不保证信息的准确性、有效性、及时性和完整性。
4)如果您发现网站上有侵犯您的知识产权的作品,请与我们取得联系,我们会及时修改或删除。